Example of a Design of an Off-Grid System without Software
Initial values and necessary information
The following example describes designing an off-grid system in North Africa and serves as orientation and a starting point for in-depth system planning.
The following initial values have been specified:
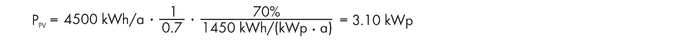
The energy requirements of the electrical loads is approximately 4500 kWh/year ( > Estimating the Electrical Loads).
The maximum power needed per day by the loads is 5 kW.
The bridging time of the off-grid system is to be 2 days.
The off-grid system is to be single-phase.
One generator is to be installed to support the energy supply when the PV power available is low.
The following information is needed:
How many Sunny Island inverters are to be installed?
What is the battery capacity to be?
Which PV inverters are to be installed and how many?
What is the nominal power of the generator to be?
Step 1: Determining the number of Sunny Island inverters necessary
In this example, the Sunny Island 6.0H is to be installed ( > Sunny Island Inverter Selection).


The result must be rounded up. Therefore, in this example 1 Sunny Island 6.0H is necessary.
Step 2: Determining usable battery capacity
The average system efficiency when discharging the battery is made up of the Sunny Island inverter efficiency and the battery efficiency. A good empirical value is the factor 0.9.




In this example, the usable battery capacity is 13.7 kWh or 285 Ah.
In this example, for lead-acid batteries, the total or gross battery capacity would be 13.7 kWh / 50 % = 27.4 kWh or 570 Ah; for lithium-ion batteries it would be 13.7 kWh / 80 % = 17.125 kWh or 357 Ah.

Note the temperature limits of the manufacturer
The temperature has impact on the usable battery capacity.
- Read the documentation of the battery manufacturer.
Based on the necessary battery capacity and the usable range of the nominal capacity, the battery to be used in the off-grid system can be selected ( > Battery-Storage System Design).
Step 3: Determining the nominal PV system power
The off-grid system is to be installed in North Africa. This furnishes us with additional initial values to be used in the following calculation:
It is recommended to accept the specific energy yield with 1450 kWh per year and per kWp of the nominal PV system power.
It is recommended to accept the proportion of the PV energy of the energy supply of an off-grid system with 70%.


In this example, the nominal PV system power is 3.1 kWp. This means that a PV inverter with a rated power of at least 3100 W must be used in this system. The maximum rated power of the PV inverter is based on the selected Sunny Island. In the present example, the rated power can therefore be up to 9200 W ( > Selecting the PV Inverter).
A suitable design for the PV modules and the PV inverter as well as the correct cabling can be calculated simply using Sunny Design ( > PV System Design with Sunny Design).
Step 4: Determining the nominal power of the generator
The nominal power of the Sunny Island inverter is 4600 W. This means that the nominal power of the generator should be between 3680 W (80%) and 5520 W (120%). In order that the generator is ideally utilized, a nominal power of less than 4600 W (100%) is recommended ( > Generator Design).