Beispiel zur Auslegung eines Inselnetzsystems ohne Software
Ausgangsgrößen und gesuchte Informationen
Das folgende Beispiel beschreibt die Auslegung eines Inselnetzsystems in Nordafrika und dient als Orientierung und Ausgangspunkt für eine detaillierte Anlagenplanung.
Folgende Ausgangsgrößen sind gegeben:
Der Energiebedarf der elektrischen Verbraucher beträgt ca. 4500 kWh/Jahr ( > Abschätzung der elektrischen Lasten).
Die von Lasten am Tag maximal benötigte Leistung beträgt 5 kW.
Die Überbrückungszeit des Inselnetzsystems soll 2 Tage betragen.
Das Inselnetzsystem soll 1-phasig aufgebaut werden.
Zur Unterstützung der Energieversorgung bei geringer PV-Leistung soll ein Generator eingesetzt werden.
Folgende Informationen werden gesucht:
Wie viele Sunny Island sollen eingesetzt werden?
Wie hoch soll die Batteriekapazität sein?
Welche PV-Wechselrichter sollen in welcher Anzahl eingesetzt werden?
Wie hoch soll die Nennleistung des Generators sein?
Schritt 1: Anzahl der benötigten Sunny Island ermitteln
In diesem Beispiel soll der Sunny Island 6.0H eingesetzt werden ( > Auswahl des Wechselrichters Sunny Island).


Das Ergebnis muss aufgerundet werden. Folglich wird in diesem Beispiel 1 Sunny Island 6.0H ausgewählt.
Schritt 2: Nutzbare Batteriekapazität ermitteln
Der mittlere Systemwirkungsgrad beim Entladen der Batterie setzt sich zusammen aus dem Wirkungsgrad des Wechselrichters Sunny Island und dem Wirkungsgrad der Batterie. Ein guter Erfahrungswert ist der Faktor 0,9.




Die benötigte nutzbare Batteriekapazität beträgt in diesem Beispiel 13,7 kWh oder 285 Ah.
Bei Bleibatterien würde die totale oder Brutto-Batteriekapazität in diesem Beispiel 13,7 kWh / 50 % = 27,4 kWh oder 570 Ah betragen, bei Lithium-Ionen-Batterien 13,7 kWh / 80 % = 17,125 kWh oder 357 Ah.

Temperaturgrenzen des Herstellers beachten
Die Temperatur hat Einfluss auf die nutzbare Kapazität der Batterie.
- Dokumentation des Batterieherstellers beachten.
Auf der Grundlage der benötigten Batteriekapazität und des nutzbaren Bereichs der Nennkapazität kann die Batterie für das Inselnetzsystem ausgewählt werden ( > Auslegung des Batteriespeichers).
Schritt 3: Anlagen-Nennkapazität der PV-Anlage ermitteln
Das Inselnetzsystem soll in Nordafrika errichtet werden. Daraus ergeben sich für die folgende Berechnung weitere Ausgangsgrößen:
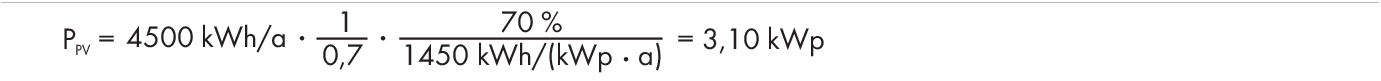
Es wird empfohlen, den spezifischen Energieertrag mit 1450 kWh im Jahr pro kWp der Anlagen-Nennleistung anzunehmen.
Es wird empfohlen, den Anteil der PV-Energie an der Energieversorgung eines Inselnetzsystems mit 70 % anzunehmen.


In diesem Beispiel beträgt die Anlagen-Nennkapazität 3,1 kWp. Damit sollte ein PV-Wechselrichter in diesem System eingesetzt werden, dessen Bemessungsleistung mindestens 3100 W beträgt. Die maximale Bemessungsleistung des PV-Wechselrichters gibt der gewählte Sunny Island vor. Im vorliegenden Beispiel darf die Bemessungsleistung demnach bis zu 9200 W ( > Auswahl der PV-Wechselrichter) betragen.
Eine passgenaue Auslegung der PV-Module und des PV-Wechselrichters sowie die richtige Verkabelung lässt sich mit Sunny Design einfach errechnen ( > Anlagenauslegung mit Sunny Design).
Schritt 4: Nennleistung des Generators ermitteln
Die Nennleistung des Wechselrichters Sunny Island beträgt 4600 W. Demnach sollte die Nennleistung des Generators zwischen 3680 W (80 %) und 5520 W (120 %) liegen. Für eine optimale Auslastung des Generators ist eine Nennleistung von etwas weniger als 4600 W (100 %) zu empfehlen ( > Auslegung der Generatoren).